| 学巴书馆 > 贾平凹 > 秦腔 > |
| 八十四 |
|
|
|
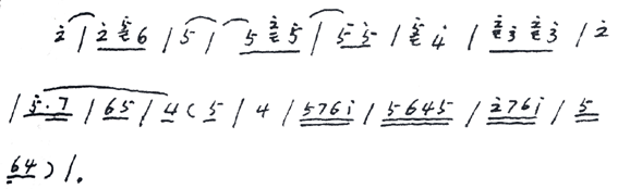
回到家,瞎瞎一伙还在搓麻将,媳妇却想不出把钱放在哪儿安全,先放在柜中的麦子里,又取出来,就从谷糠瓮背后翻出一个破纸盒,放在盒子里了,再想想,怕钱潮了,用一片塑料纸包了,还在纸盒上放了些麦草,重新藏在瓮背后,谋算着明日下午就可以重到南沟庙里去了。瞎瞎在堂屋喊:“喂,喂!”媳妇知道在喊她,偏不作理,瞎瞎就骂:“你耳朵塞了驴毛了吗?”媳妇说:“你吱哇啥的?”瞎瞎说:“你摊些煎饼,去大哥院里摘些花椒叶垫上,椒叶煎饼好吃!”媳妇说:“我不去,上次摘花椒叶,大嫂蛮不高兴哩。”瞎瞎说:“摘她个片花椒叶都不行?你去,你偏去摘!”媳妇说:“你能行,你去摘!”瞎瞎逗火了,当下放下牌,就去了庆金家院子摘花椒叶。一会儿回来进门竟吼道:“是你把大嫂领到南沟庙里去了?”媳妇说:“她说要给光利抽签的,她要我带路,我能不去?”瞎瞎扇了媳妇一掌。瞎瞎的个头低,他是跳了一下扇的媳妇的脸,说:“你抽的屁签哩!光利已经坐车去新疆了,如果大嫂在,光利还不敢走的,你把大嫂却偏偏带到庙里去了,现在大嫂寻死觅活的,你负责去!”媳妇一听,说:“爷!”转身就走。瞎瞎又跳着一个巴掌扇过去,说:“你往哪里去,你惹下事了,你不乖乖在屋里还往外跑?!”媳妇挨了打,并没有哭,在院中的捶布石上坐了一会儿,进厨房摊煎饼。这媳妇做针线活不行,摊饼在五个妯娌中却是最好的。她娘死得早,四岁上她就在案板上支了小凳站着学摊饼。嫁过来后,瞎瞎不务正事,又惹是生非,她已经习惯了,知道这是她的命,也就不哭,也不在人前唉声叹气,但该怎么办就怎么办。饼煎了一案,她的奶惊了,孩子还放在婆婆那里。就在灶火口将衣服撩起,将憋得生疼的奶水挤着洒在柴火上。然后把饼盛在盘子里,又在四个小碗里调了辣子醋汁,一切都收拾停当,拉闭了厨房门,在院子喊:“饼子好了!”自顾出门去接儿子。 麻巧的脸青萝卜似的,从巷子里小步跑,一对大奶扑扑闪闪像两袋子水,咕涌得身子跑不快,瞎瞎的媳妇就忍不住笑了。瞎瞎媳妇说:“嫂子,嫂子,狼撵你哩?!”麻巧没吭声,但跑过三步了,却说:“你有事没事?”捏了一下鼻子,把一把鼻涕抹在巷墙上。瞎瞎媳妇说:“我去接娃呀,娃在他婆那儿。”麻巧说:“那你跟我走!”瞎瞎媳妇糊糊涂涂就跟了走。走出了巷到了街上,她不知道往哪儿去,说:“嫂子,你知道不知道光利到新疆去了?”麻巧说:“去了好,都窝在咱这儿干啥呀!”瞎瞎媳妇说:“他一走,他娘寻死觅活的!”麻巧说:“谁的日子都比我好!”瞎瞎媳妇觉得不对,也不敢多说,跟着只管走,瞧见麻巧头上似乎长了个大红鸡冠。瞎瞎媳妇说:“嫂子你头上有个鸡冠?”麻巧说:“我成了人的鸡啦?!”瞎瞎媳妇再看时,那不是鸡冠,是一团火焰。揉揉眼睛,火焰又不见了。 这两个婆娘到了万宝酒楼前,脚底下腾着一团尘土。丁霸槽在楼前的碌碡上吃捞面,辣子很汪,满嘴都是红,刚一筷子挑了一撮,歪了头用嘴去接,蓦地看见麻巧过来,忙咽了面,跳下碌碡把路挡住了。麻巧说:“矬子,君亭在没在楼上?”丁霸槽说:“啥事?”麻巧说:“他几天不沾家了,是不是在楼上嫖妓哩?”丁霸槽说:“啥?你是糟贱君亭呢还是糟贱我酒楼呢,我这儿哪有妓?”麻巧说:“谁不知道你那些服务员是妓,三踅带着到处跑哩!他几天不回去了,家还是不是家?!”丁霸槽说:“君亭哥是村干部,你见过哪个大干部能顾上家?”麻巧说:“他算什么大干部,看有没有指甲盖大?”丁霸槽说:“你权当他就是大干部么!你不认他,我看他就是清风街上的毛主席!”麻巧说:“他人肯定就在楼上,你为啥不让我上楼去?”丁霸槽突然大声说:“我君亭哥肯定没在楼上,你是警察呀,要检查我呀!”麻巧说:“你喊那么高你别报信!”就对瞎瞎媳妇说:“你就在楼口守着,我上去寻!”瞎瞎媳妇到这时才明白是来要捉奸的,她才不想沾惹是非,转身就走。这时刻,酒楼上有声音在说:“胡闹啥的,在这儿喊叫啥的?!”君亭披着褂子从楼梯上下来。麻巧说:“矬子说你不在楼上,你在楼上干啥哩?”君亭说:“我的工作得给你汇报呀?往回走,清风街上哪个女人这样过?你在这儿信口乱说,我还工作不工作?!”一脚朝麻巧屁股上踢,没踢着,麻巧却猫腰就上了楼,砰地将一间房门踹开,床上睡着一个女的,拉起来就打。楼上一响动,丁霸槽先跑上来,君亭也上来了,两个女人已纠缠在一块,你撕我的头发,我抓你的脸皮,丁霸槽忙拉开,各自手里都攥了一撮头发。丁霸槽说:“人家是我这儿的服务员,你不问青红皂白凭啥打人家?”麻巧说:“大白天的她睡啥?”丁霸槽说:“大白天就不能休息啦?”麻巧说:“她休息就脱得那么光?”指了那女子骂:“你要清白你把你那×掰开,看有没有男人的?在里边?”君亭压住麻巧就打。麻巧叫:“你打死我让我给她铺床暖被呀?!”君亭吼道:“你给我叫,你再叫一声?!”麻巧不叫了。瞎瞎媳妇赶忙拉了麻巧就走,君亭就势站起来,理他的头发,临下楼了蹬了那女的一脚。 麻巧闹了万宝酒楼,消息不免在清风街传出,可是第二天,麻巧却再次来到万宝酒楼,当着众人的面,说她错怪了君亭,也错怪了万宝酒楼上那个服务员,而且道歉。这绝对是君亭导演的。如果君亭压根不理会,别人倒认作是麻巧生事,而麻巧不是顺毛能扑索的人,她这么表演,就欲盖弥彰了。但是,这种表演不管多么拙劣,你得佩服君亭毕竟是制服了麻巧,清风街又有几个男人是制服住老婆的主儿呢?我好事,曾经去君亭家和夏天智家的周围偷偷观察。我发现了君亭从那以后是每天都按时回家吃饭和夜里回去睡觉的,而夏天智也在他家院子里大骂过夏雨,不久,万宝酒楼上的那个女服务员就再不见了。那个女服务员一走,三踅好久一段不去万宝酒楼了,丁霸槽从北塬上采购了五条干驴鞭,用烧开的淘米水泡了,对三踅说:“你不来吃钱钱肉呀,厉害得很,才泡了半个小时,就在盆子里栽起来了!”三踅说:“我已经上火了,还让再流鼻血呀?!”倒是坐在万宝酒楼前让剃头匠剃光头,拿了炭块在墙上写:“你可以喝醉,你可以泡妹,但你必须每天回家陪我睡,如果你不陪我睡,哼,老娘就打断你的第三条腿,让它永远萎靡不振!”夏雨知道三踅这话指的谁,用瓦片把字刮了。 清风街好长好长的时间里再没有新闻了,这让我觉得日子过得没意思。每日从七里沟回来,在街上走过,王婶还是坐在门道里的织布机上织布,铁匠铺已经关门,染坊里的叫驴叫唤上几声再不叫唤,供销社的张顺竟趴在柜台上打起盹儿了。我一拍柜台,他醒了,说:“啊,买啥呀?”我说:“没啥事吧?”张顺说:“进了一罐酒精,陈亮来吸过导管了。”我骂了一句:“谁稀罕喝你酒精呀?!”回去睡觉。枕着的那块砖,把头都枕扁了,就是睡不着,便坐起来想白雪。我很想白雪。想得在街巷里转,就看见了陈星挑着一担苹果从果园里回来,担子头上别着一束月季。我抓起一个苹果要吃,他说:“你给一角钱吧。”我没钱,理他的,我把苹果狠狠地扔回筐里,却把那一束月季拿走了,说:“这月季该不会要钱吧?!”拿着月季,我突然想,也许是那个人的心意呢,就觉得自己像月季一样盛开了。 那个傍晚,我的心情陡然转好,而且紧接着又来了好事。我拿了月季唱“清早间直跪到日落西海”: ![]() |
|
|
| 学巴书馆(xuoba.com) |
| 上一页 回目录 回首页 下一页 |