学巴书馆 > 茅盾 >  | 上页 下页
目录


·一
·二
·三
·四
·五
·六
·七
·八
·九
·十
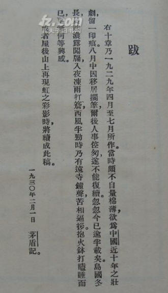
·跋

虹

虹

虹

虹

虹

虹



(精装本)
民国十九年三月初版
民国二十年一月三版
实价一元三角
(同业公议照码加一)
著者 茅盾
发行者 开明书店


学巴书馆(xuoba.com)
上一页 回目录 回首页 下一页